Jay
#850
RobTuck, He could try the following site. If he is willing to experiment with how the web page works he may find something worthwhile: Ratings | Cognitive Vitality | Alzheimer's Drug Discovery Foundation
2 Likes
Jay
#851
RapAdmin, Iām going out on a limb here to give an opinion from a non-medical person about this article. My thought is that damaged capillaries in the brain lead to reduced blood flow with resulting reductions in incoming nutrients and outgoing contaminants. This results in a poorly functioning brain with a buildup of plaques.
Damaged capillaries can be caused by too much sugar (glucose) in the blood. Whether itās just high blood sugar in general or technically classified as diabetes, controlling blood sugar levels is one of my major concerns for maintaining brain health.
Iāll leave it up to the experts to correct any of my errors.
4 Likes
FYI, figure S2G from the second study:
Also relevant:
7 Likes
So the first dataset suggests rosuvastatin is the most protective and the second suggests that hydrophilic statins are not protective? Isnāt that inconsistent?
1 Like
L_H
#856
Modified Vit K may be even more effective
https://pubs.acs.org/doi/10.1021/acschemneuro.5c00111
Article on the above:
Supercharged vitamin k could help the brain heal itself
4 Likes
No amount of alcohol is safe, at least for dementia risk, study finds (WaPo)
Even a drink or two a day isnāt risk-free, a new study suggests.
For years, the common wisdom and science was that a little bit of alcohol wasnāt bad ā and even beneficial ā for your health: A toast to moderation.
But new research published in BMJ Evidence-Based Medicine suggests that even light alcohol consumption can increase dementia risk.
The finding comes from data of more than 550,000 adults ages 56 to 72, as well as genetics information from 2.4 million study participants. It adds to evidence that even small amounts of alcohol can be harmful to our health, including increasing the risk of cancer or disrupting sleep.
Excessive alcohol consumption ā more than 12 drinks per week ā and alcohol use disorder have long been linked to dementia, an umbrella term for different types of progressive cognitive impairment, including Alzheimerās disease.
Read the full article: No amount of alcohol is safe, at least for dementia risk, study finds (WaPo)
Research paper (open access):
Alcohol use and risk of dementia in diverse populations: evidence from cohort, caseācontrol and Mendelian randomisation approaches
Conclusions These findings provide evidence for a relationship between all types of alcohol use and increased dementia risk. While correlational observational data suggested a protective effect of light drinking, this could be in part attributable to reduced drinking seen in early dementia; genetic analyses did not support any protective effect, suggesting that any level of alcohol consumption may contribute to dementia risk. Public health strategies that reduce the prevalence of alcohol use disorder could potentially lower the incidence of dementia by up to 16%.
https://archive.ph/25vB1#selection-2417.0-2419.558
5 Likes
As your youth fades further into the past, you may start to fear growing older.
But research my colleague and I have recently published in the journal Intelligence shows thereās also very good reason to be excited: for many of us, overall psychological functioning actually peaks between ages 55 and 60.
And knowing this highlights why people in this age range may be at their best for complex problem-solving and leadership in the workforce.
Research Paper (Open access):
Humans peak in midlife: A combined cognitive and personality trait perspective
Highlights
-
Age trends reviewed across 16 key cognitive and personality-related dimensions.
-
All variables plotted on a common scale to enable direct cross-domain comparisons.
-
Age trajectories varied widely: some traits declined, others improved with age.
-
A weighted composite index of functioning was developed from theory and evidence.
-
Overall cognitive-personality functioning peaks between ages 55 and 60.
Artigo completo:
https://www.sciencedirect.com/science/article/pii/S0160289625000649?via%3Dihub
4 Likes
Ah. Itās great to recognize that midlife is now 55-60. In my grandparentsā day, that was the twilight years, as most died in their 70s. Now weāre pushing into the mid-80s and even 90s.
It feels like we really have gained a decade or two of healthy life beyond what our grandparents and their forbears had!
I know Iām going to sound greedy, but even that seems like not enough though! 
3 Likes
L_H
#860
I havenāt even peaked yet???
1 Like
Blood tests are now approved for Alzheimerās: how accurate are they? (Nature)
A second blood test has been been approved by the US Food and Drug Administration to assist in diagnosing Alzheimerās disease. Will these tests change how cognitive decline is measured?
A new blood test to aid with the diagnosis of Alzheimerās disease has been approved by the US Food and Drug Administration (FDA). The test, which is designed to rule out cognitive decline caused by Alzheimerās disease, is the first blood test cleared for use in primary-care settings but not a first for Alzheimerās.
Elecsys pTau181 ā developed by two pharmaceutical companies, Roche in Basel, Switzerland and Eli Lilly in Indianapolis, Indiana ā measures a specific phosphorylated form of tau, known as pTau181 in blood plasma. The test quantifies how much tau protein in the body has been modified as a result of Alzheimerās disease.
In a press release on 13 October, Roche reported that in a clinical trial of 312 participants, the Elecsys pTau181 test was correctly able to rule out Alzheimerās 97.9% of the time. The test uses a negative predictive value and helps to rule out Alzheimerās in individuals with cognitive decline, rather than giving a positive indication that someone has the disease.
Read the full story: Blood tests are now approved for Alzheimerās: how accurate are they? (Nature)
2 Likes
Comparative Effects of SGLT2 Inhibitors and Incretin-Based Therapies on Dementia Risk in Type 2 Diabetes: A Systematic Review and Meta-analysis
Conclusion: SGLT2is may provide neuroprotective benefits beyond glycemic control in patients with T2D, particularly in older populations at higher risk of cognitive decline. These findings support consideration of SGLT2is as a preferred therapeutic option for patients with T2D at increased risk of dementia, although randomized controlled trials would further strengthen this evidence base.
Paywalled paper:
4 Likes
- A new study discovered that people with genetic variants that naturally cause them to have lower cholesterol also have a lower risk of dementia.
- Researchers found that for those without these genetic variants, use of cholesterol-lowering drugs might achieve the same result.
Open Access Paper:
Cholesterol-lowering drug targets reduce risk of dementia: Mendelian randomization and meta-analyses of 1 million individuals
DISCUSSION
Genetic lowering of non-HDL cholesterol via HMGCR, NPC1L1, and CETP reduces the risk of dementia. This reflects the effect of lifelong differences in non-HDL cholesterol on risk of dementia.
https://alz-journals.onlinelibrary.wiley.com/doi/10.1002/alz.70638
7 Likes
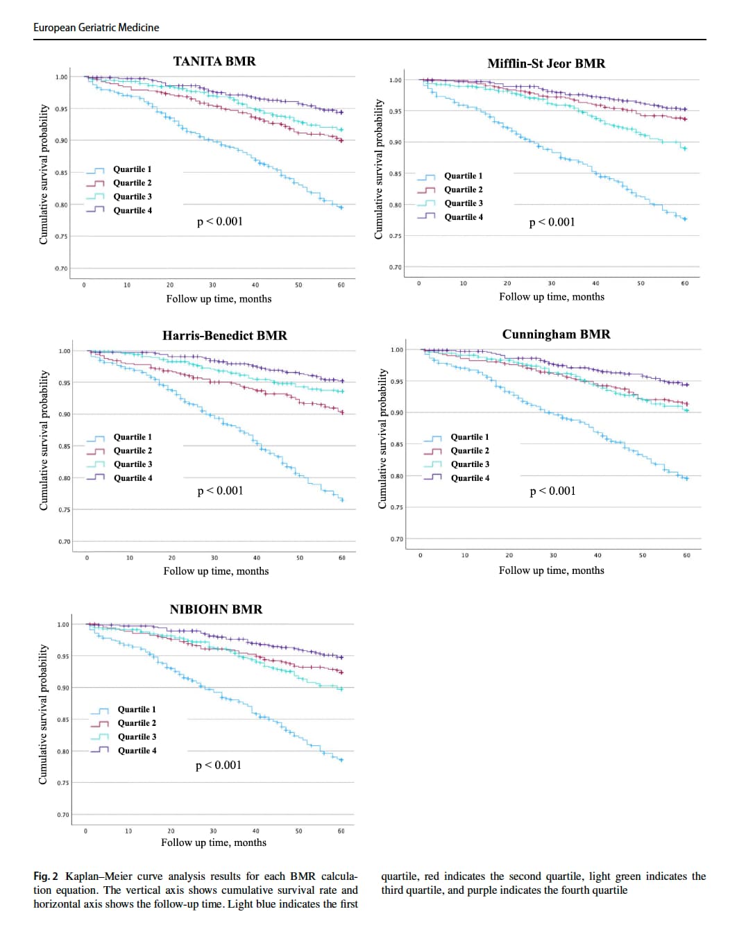
Basal metabolic rate predicts dementia in community-dwelling older adults: a 5-year longitudinal study
Findings
Participants in the lowest BMR quartile had a significantly higher risk of developing dementia compared to those in the highest quartile. Among the BMR estimation formulas, the HarrisāBenedict equation showed the highest predictive accuracy based on time-dependent ROC analysis.
Message
Low BMR may serve as an early biomarker for dementia risk, with the HarrisāBenedict formula offering particularly useful predictive utility.
Open access paper: Basal metabolic rate predicts dementia in community-dwelling older adults: a 5-year longitudinal study | European Geriatric Medicine
AI BMR explanation:
Basal Metabolic Rate (BMR) is the minimum amount of energy required by the body to maintain essential functions at rest. It is calculated using the following formulas:
For Men: BMR = 88.362 + (13.397 x weight in kilograms) + (4.799 x height in centimeters) - (5.677 x age in years)
For Women:
BMR = 447.593 + (9.247 x weight in kilograms) + (3.098 x height in centimeters) - (4.330 x age in years)
Example:
A 30-year-old woman, 160 cm tall, and weighing 60 kg would have a BMR of:
BMR = 447.593 + (9.247 x 60) + (3.098 x 160) - (4.330 x 30) = 1323.5 kcal/day
Notes:
-
These formulas are based on the Harris-Benedict equation.
-
BMR is influenced by factors such as age, sex, weight, and height.
-
Online BMR calculators are available for convenience.
Beth
#868
While I probably shouldnāt look, I couldnāt find the quartiles in order to see where I fit? I pulled up one chart from the paper you linked, but it didnāt load probably for me, so perhaps it was in there?
See here (and in the PDF download of the paper):
Cumulative incidence of dementia according to basal metabolic rate (BMR) quartiles. The Fine-Gray competing risk model was used, considering death as a competing event. Lines indicate estimated cumulative incidence for each BMR quartile: Quartile 1 (blue), Quartile 2 (green), Quartile 3 (orange), Quartile 4 (red)
(Double click on the image below to make it larger)
1 Like